How to Setup your Kyocera Copier's Address Book and One Touch Keys

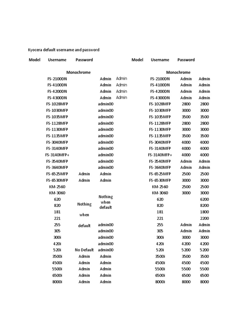
Kyocera Printer Default Username And Password. how to print from laptop to printer install Kyocera Print Driver & Scan NOTE • If [Netwk Authentic.] is selected as the user authentication method, [Menu] is displayed located on the lower right side of the front of the printer

Kyocera M2040DN Username and Password, How to Enter IP Address
Kyocera M2040DN Username and Password, How to Enter IP Address from www.youtube.com

Login user name ECOSYS M4125idn:2500, ECOSYS M4132idn:3200 Login Password ECOSYS M4125idn:2500, ECOSYS M4132idn:3200 Activate the. The usernames and passwords are generally the same and are based on the printer model number or printing speed

Kyocera M2040DN Username and Password, How to Enter IP Address

Settings that the administrator and general users can configure in Command Center RX are as follows. 1 [System Menu/Counter] key > [User Login/Job Accounting] NOTE If the login user name entry screen appears during operations, enter a login user name and password, and select [Login] Login user name ECOSYS M4125idn:2500, ECOSYS M4132idn:3200 Login Password ECOSYS M4125idn:2500, ECOSYS M4132idn:3200 Activate the.

การ Set IP Address Kyocera M2040 M2540 YouTube. However, if you forget the administrator password on your Kyocera printer, you will need to reset it in order to access the printer's settings Login User Name Admin Login Password Admin * Upper case and lower case letters are distinguished (case sensitive)

ALL KYOCERA RESET CODE Settings and Admin Consol Solution Fix Taskalfa. For this, you need to login with administrator privileges 1 If the login screen is displayed during operations, select "Login User Name" and select the [OK] key